Стохастичні та квантові ефекти взаємодії ВЧ НКВІДів з електромагнітними полями

Впродовж останніх двох
десятирічь спостерігається бурхливий розвиток квантових технологій обробки
інформації та захищеного зв’язку. Це потребує розробки відповідних надпровідних
ланцюгів, які містять кубіти як обчислювальні елементи та надчутливі
однофотонні детектори електромагнітного випромінювання у оптичному,
інфрачервоному на мікрохвильовому діапазонах частот і дослідження їхньої взаємодії
з ЕМ полем. Базою таких кубітів, зокрема потокового, є надпровідне кільце с
джозефсонівським контактом (добре відома структура ВЧ НКВІДу). Ми вивчаємо
можливості підвищення чутливості таких структур до низькочастотних магнітних
полів (класичний ВЧ НКВІД, ефект стохастичного резонансу) та високочастотних
мікрохвильових фотонів (квантовий лічильник на основі потокового кубіту).
К В А Н Т О В І Е Ф Е К Т И
Лічильник поодиноких мікрохвильових фотонів на основі надпровідного потокового кубіту
Надпровідні однофотонні детектори оптичних та ІЧ діапазонів вже існують і навіть доступні комерційно, але квант мікрохвильового випромінювання має енергію на 4-5 порядків величини нижчу, тому й методи детектування докорінно відрізняються. Однофотонні мікрохвильові детектори ще на стадії експерименту. Ми вирішуємо цю складну задачу разом з усіма пов’язаними з нею фізичними та технічними проблемами.

Принцип дії запропонованого нами лічильника поодиноких фотонів [1, 2] – використання переходів між дискретними квантовими станами потокового кубіту (які ми розраховували чисельно з рівняння Шредінгера у [1]) після резонансного поглинання їм НВЧ, або мікрохвильового, (~10 ГГц) фотону, в результаті чого змінюється магнітний потік у кільці кубіту. Ця невелика зміна (~0.3 F0, кванту магнітного потоку) фіксується слабо пов’язаним з ним ВЧ НКВІДом, який працює у безгістерезисному режимі [3] на частоті накачування, що підвищена на порядок (до 500 МГц) порівняно з традиційними конструкціями для зменшення ефекту так званої «зворотної дії». (Зворотна дія викликає декогерецію кубіта, тобто порушення його квантових станів.)


Для цього ж призначений [4] охолоджуваний мікропотужний (1-3 мкВт) ВЧ підсилювач на транзисторах з високою рухомістю електронів (HEMT) [5] . Через дуже малу енергію НВЧ фотона детектор з підсилювачем мусить бути охолоджений до температур 10-20 мК, та екранований від електромагнітного оточення тришаровим магнітним екраном [6, 7] (задача «ізоляції кубіту» [8]), а всі вимірювальні ланцюги, які йдуть до «кімнатної» електроніки, мають бути зафільтровані у широкій смузі частот за допомогою порошкових фільтрів [9] . Експериментальна перевірка результатів потребує літографічного обладнання для виготовлення структури та рефрижератора розчинення, які ми плануємо знайти в рамках співробітництва з європейськими науковими установами.
С Т О Х А С Т И Ч Н І Е Ф Е К Т И
Стохастичний резонанс у ВЧ НКВІДах та надпровідних ланцюгах
Стохастичний резонанс (СР) – це дуже поширене парадоксальне явище впорядкування різних динамічних і порогових систем під дією шуму певної інтенсивності, що робить їх чутливішими до слабких періодичних сигналів.
Враховуючи широкий діапазон застосування надпровідних квантових інтерферометрів (НКВІДів) для високочутливих вимірювань в промисловості, біомедичних, геологічних, фізичних дослідженнях і тому подібне, ми вивчаємо прояви СР в надпровідних квантових інтерферометрах з одним джозефсонівським контактом (ВЧ НКВІДах) для того, щоб виявити оптимальний набір параметрів НКВІДу і сигналу, які забезпечили б велике посилення слабкого періодичного сигналу на тлі шуму.
Використовуючи математичну модель кільця ВЧ НКВІДу з одним джозефсонівським контактом (не обов'язково тунельного типу), ми моделюємо стохастичну динаміку магнітного потоку в цьому кільці, що знаходиться під дією шуму різної статистики і різних слабких періодичних сигналів.
Для експериментальних досліджень ми побудували низькотемпературну (гелієвого рівня) вимірювальну установку з самоекранованими 3D тороїдальними ВЧ НКВІДами, що зроблені з масивного ніобію і включають підстроювані джозефсонівські контакти.

Нижче
наведені деякі з отриманих результатів (у
зворотньому хронологічному порядку).
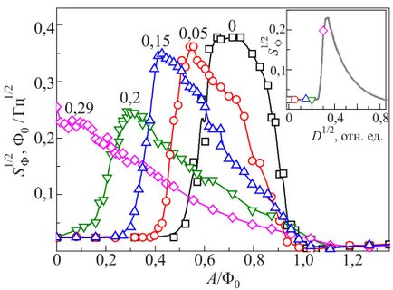
Кероване посилення спектрально-складних слабких сигналів у ВЧ НКВІДі
Експериментально показано, що при неоптимальній інтенсивності шумового потоку, яка недостатня для реалізації стохастичного резонансу (СР), можна керувати середньою частотою переходів кільця між його метастабільними станами і тим самим підсиленням слабкого сигналу, отримуючи максимально можливе підсилення за допомогою додаткового детермінованого змінного магнітного потоку з частотою, що значно перевищує частоту підсилюваного корисного сигналу. Частотні характеристики посилення композитного багаточастотного сигналу в режимах керованого стохастичного підсилення та «чистого» СР відрізняються один від одного [10].

Стохастичне посилення слабких сигналів у ВЧ НКВІДі з контактом типу ScS при 0 < T < Tc
СР в кільці ВЧ НКВІДу з точковим контактом біляатомного розміру (atomic-size ScS) модифікується із зростанням температури унаслідок розмиття енергетичного бар'єру між сусідніми метастабільними струмовими станами кільця, що виражається в зміні коефіцієнта стохастичного посилення слабкого сигналу. При достатньо високій температурі поведінка кільця ScS-НКВІДа нагадує поведінку кільця НКВІДу з тунельним (SIS) контактом. [11]

СР у ВЧ НКВІДі з шунтованим контактом типу ScS
Використання точкового (ScS) контакту біляатомних розмірів (інакше – квантового точкового контакту, QPC) в кільці ВЧ НКВІДу гарантує умови виникнення СР при будь-яких, довільно малих, значеннях індуктивності кільця і критичного струму джозефсонівського контакту на відміну від НКВІДів з тунельним (SIS) контактом. Це відбувається завдяки незвичайному потенційному бар'єру між ямами з гострою вершиною (при температурі, що близька до абсолютного нуля), який завжди має кінцеву висоту, роблячи таким чином ScS-НКВІД бістабільним. [12, 13]

Вимушені стохастичні переходи в багатоямному потенціалі
На додаток до звичайного сценарію СР в бістабільній системі з гауссовим шумом, експериментально спостерігалися переходи між множинними метастабільними станами в багатоямному потенціалі кільця ВЧ НКВІДу під дією бінарного шуму. Цей експеримент можна інтерпретувати як своєрідну «шумову спектроскопію» метастабільних станів кільця НКВІДу з різними значеннями захопленого магнітного потоку. [14, 15]

Стохастично-параметричний резонанс
Чисельне вирішення рівнянь Ланжевена для одноконтактного надпровідного квантового інтерферометра показує, що кооперативна дія шуму і періодичного високочастотного електромагнітного поля приводить до посилення слабкого гармонійного сигналу завдяки механізму стохастично-детерміністичного резонансу, який схожий на звичайний ефект стохастичного резонансу. Цей новий ефект, який ми назвали стохастично-параметричним резонансом (СПР) дає можливість отримувати максимальне посилення при довільно малому рівні шуму. [16]
СР у зв'язаних НКВІДах
Чисельне моделювання СР в адіабатичному наближенні в передемпфованих надпровідних контурах, що містять слабкий джозефсонівський зв'язок, показує, що зв’язування окремих кілець в пару збільшує посилення слабкого синусоїдального сигналу і відношення сигнал/шум. Ці результати можуть бути використані для створення нових стохастичних антен НКВІДів для вимірювання гармонійних і квазігармонійних сигналів. [17]

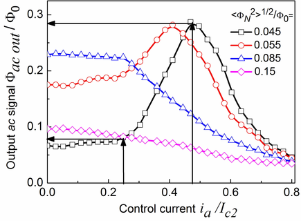
Стохастичний підсилювач для зчитування стану потокових кубітів
Запропоновано повністю надпровідний детектор на основі СР 4-термінального НКВІДу. Відсутність високочастотного і квазічасткового струму в ланцюзі вимірювання кубіту, який слабо пов'язаний з самим кубітом, забезпечує невелику зворотну дію і запобігає швидкій декогеренції кубіту під час безперервних нечітких вимірювань квантових станів.
O. G. Turutanov, V. I. Shnyrkov, A. N. Omelyanchouk. Stochastic amplifier based on superconducting interferometer with 4-terminal Josephson junction for flux qubit readout. MSMW’07 Symposium Proceedings, Kharkov, Ukraine, p.822-824
Перестроювані стохастично-резонансні вхідні ланцюги НКВІДів
Потенційний бар'єр між метастабільними станами кільця НКВІДу, що містить 4-термінальний мезоскопичний слабкий зв'язок, визначається керуючим струмом, який пропускається через два виведення цього 4-термінального слабкого зв'язку. Це дозволяє, у присутності теплового або зовнішнього шуму, побудувати нові надпровідні СР-підсилювачі з керованими посиленням і частотною смугою для вхідних ланцюгів НКВІДів. [18, 19]
